近些年来,具有大容量、高电压、长循环寿命和低自放电特性的可充电锂离子电池受到了广泛的关注,并且被视为优秀的能源储存器件。但由于在使用过程中锂枝晶的生长,以及所使用的有机液态电解液具有潜在安全风险,使其在便携式设备和电动车中的使用受到了限制。因此,与液态电解液相比,具有高安全性能的固态聚合物电解质得到了飞速发展。同时,在全固态电池当中,有望搭配高容量的锂金属(3860 mA h g−1)作为负极,可以大幅度提高固态电池的能量密度。
通常情况下,固态聚合物电解质由可以溶解锂盐的聚合物基质组成。PEO是近些年来研究得最为广泛的一种聚合物基体材料。其具有介电常数高(εr ≈ 5),溶解锂盐能力强等优势。但由于锂离子迁移数低(0.1~0.3),室温离子电导率低(≈10-7 S cm-1)和电化学窗口窄(< 4.0 V vs. Li+/Li)等缺陷。为了克服以上几种问题,目前提出了多种可替代 PEO的基体材料,如PVC,PEC和PAN等。
聚己内酯(PCL),便是一种可以用做聚合物电解质的酯基聚合物,其具长柔性连段,可较好地溶解 Li+,以及较低的玻璃态转变温度和宽的电化学窗口(5 V vs. Li+/Li)。但是,PCL也同样具有一些缺陷,例如,半结晶态聚合物的特性使其离子电导率受温度影响较大,且只能在高温下进行使用。目前,有多种方法可以降低聚合物的结晶度,如添加增塑剂;合成交联型聚合物;在聚合物当中掺入无机粒子;合成嵌段共聚物等方法。而合成共聚物是一种有效打乱结晶相有序排列的方法,已经广泛地应用在PEO基固态电解质当中。同时,共聚的方式可以通过共价键,将两个性质不同的嵌段连接在一起,使材料同时具有这两种聚合物各自的优良性质。
近日,永利官网谢海明教授课题组在国际知名期刊Nano Energy (影响因子:16.60) 上发表题为“Dendrite-free lithium metal solid battery with a novel polyester based triblock copolymer solid-state electrolyte”的研究工作。
该工作设计合成了一种BAB型三嵌段共聚物固态电解质(PCL-PPC-PCL),将PCL作为B嵌段,将同样可用聚合物电解质的聚碳酸丙烯酯(PPC)作为A嵌段。PPC这种聚合物自身为无定形结构,室温离子电导率较高(10−4 S cm−1),并且具有宽电化学窗口和较好的电池性能。通过共聚的方式降低材料结晶度的同时,PPC可以在体系内发挥其快速传输锂离子的特性。而PCL与PPC中参与传输锂离子的基团均为C=O官能团,有利于提升锂离子迁移数。

图一:嵌段共聚物电解质电池结构示意图
本文要点
要点一:
引入PPC后,PCL-PPC-PCL的结晶度明显降低,相比于纯PCL作为电解质,离子电导率得到了明显提升,30 °C下的离子电导率达到3×10−5 S cm−1,70 °C 时为2.7×10−4 S cm−1。新型电解质的电化学窗口为5 V vs. Li+/Li,宽于多数PEO基固态电解质。并且离子迁移数可以达到0.4。

图二:PCL-PPC-PCL嵌段共聚物电解质电化学性能表征
要点二:
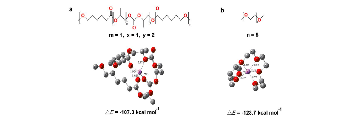
通过DFT计算研究了Li+在新型共聚物中的配位情况,在PCL-PPC-PCL当中,锂离子更倾向于进行4配位,配位数低于PEO体系中的6配位。同时,结合能也低于在PEO中的结合能,正是由于这种较弱的配位环境和较低的结合能,PCL-PPC-PCL的离子迁移数高于PEO。

图三:Li+与PCL-PPC-PCL和PEO配位示意图及结合能
要点三:
PCL-PPC-PCL对于金属锂表现出良好的兼容性,本体阻抗和界面阻抗在测试前后没有发生明显的变化。此外,在长时间Li//Li电极充放电循环中保持较低极化电压,且无枝晶生成,性能明显优于纯PCL。当单独使用PPC作为电解质时,PPC与金属锂长时间接触时会使PPC发生降解。而在改性材料中,PPC与金属锂负极之间接触减少,避免了副反应的发生。Li//Li电极循环后,PCL-PPC-PCL中的金属锂负极表面 Li+沉积均匀且无死锂生成,SEI 膜主要由聚合物和锂盐的分解产物组成,并且含有较高含量的LiF和Li3N,这两种物质有利于保护锂负极,抑制锂枝晶的生成。

图四:不同材料电解质在经历Li//Li对电极长循环后金属锂表面形貌
要点四:
无论是在室温或是70 °C下,由PCL-PPC-PCL组装成的LFP//Li电池均表现出较高的放电比容量。在70 °C时,经过200圈充放电循环后,容量保持率可以达到90 %。并且表现出优秀的倍率性能,当倍率升高至0.5 C时,容量可以达到123 mA h g−1,再次回到0.1 C后,容量仍可恢复至158 mA h g−1。此外,将其应用在NMC//Li电池当中同样表现出较好的充放电性能,经过10圈循环后库伦效率可以达到98 %。

图五:PCL-PPC-PCL在LFP//Li体系下高温和室温时的电池性能
结论
通过开环聚合方式合成并制备了新型聚酯基三嵌段共聚物固态电解质PCL-PPC-PCL,其表现出了较宽的电化学窗口和较高的锂离子迁移数。与PCL电解质相比较,共聚后材料的结晶度明显降低,相应离子电导率得到了提升。与此同时,改善了PPC电解质与金属锂负极的界面稳定性。并且,展现出了良好的电池性能。此种结构设计为下一代全固态锂电池的改性提供了新的思路。
Copyright yl6776永利集团(MACAU·VIP认证)官方网站-Officials Website 版权所有 地址:吉林省长春市人民大街5268号 邮编:130024 电话:0431-85099667